Nov 27, 2024

6 Posts

Cornucopia overflowing with fruits and vegetables.
Nov 27, 2024

Building a Better Future For All: Many people need help, and technology is the best way to help people at scale. Let’s get to work.

Happy Thanksgiving! In the United States, this is a week when many reflect on their blessings and give thanks.
Cornucopia overflowing with fruits and vegetables.
Nov 27, 2024

DeepSeek Takes On OpenAI, Robots Fold Laundry, Amazon and Anthropic Expand Partnership, More Efficient Object Detection

The Batch AI News and Insights: DeepSeek Takes On OpenAI, Robots Fold Laundry, Amazon and Anthropic Expand Partnership, More Efficient Object Detection.
Grounding DINO animation depicting object detection with bounding boxes on images.
Nov 27, 2024

Object Detection for Small Devices: Grounding DINO 1.5, an edge device model built for faster, smarter object detection

An open source model is designed to perform sophisticated object detection on edge devices like phones, cars, medical equipment, and smart doorbells.
Illustration of a person holding a box with network nodes emerging from it.
Nov 27, 2024

AI Power Couple Recommits: Amazon deepens Anthropic partnership with $4 billion investment

Amazon and Anthropic expanded their partnership, potentially strengthening Amazon Web Services’ AI infrastructure and lengthening the high-flying startup’s runway.
Robotic arms collaborating to fold a red garment on a table.
Nov 27, 2024

Household Help: π0, a machine learning system for household robotics

A new generation of robots can handle some household chores with unusual skill.
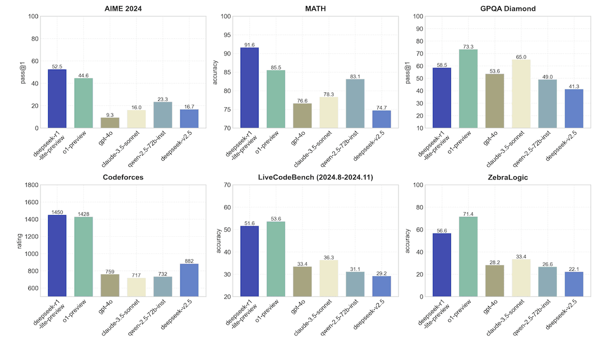
Bar charts comparing performance of AI models across six tasks.
Nov 27, 2024

Reasoning Revealed: DeepSeek-R1, a transparent challenger to OpenAI o1

An up-and-coming Hangzhou AI lab unveiled a model that implements run-time reasoning similar to OpenAI o1 and delivers competitive performance. Unlike o1, it displays its reasoning steps.

Subscribe to The Batch

Stay updated with weekly AI News and Insights delivered to your inbox